1、合理沉没度的确定
目前萨中开发区进入高含水后期开发阶段,油井含水级差增大,为了确定不同含水级别下最小沉没度和合理沉没度,对开发区正常生产抽油机井,按照含水级别将沉没度和泵效的关系进行了数理统计,并进行了回归拟和分析,以便寻找一定的规律。图1是萨中开发区3000多口抽油机井不同含水级别下泵效与沉没度之间的关系曲线。

图1 萨中开发区不同含水级别沉没度与泵效关系曲线
从图1可以看出,沉没度与泵效存在以下规律:
(1)沉没度相同的情况下,随着油井含水的上升泵效逐渐增加。
(2)对于任何含水级别的油井,随着沉没度的增加泵效提高幅度逐渐减小。
(3)萨中开发区最小沉没度应为100m,对于含水≥80%的油井,合理沉没度应在200~350m之间;含水<80%的油井,合理沉没度应在300~400m之间。
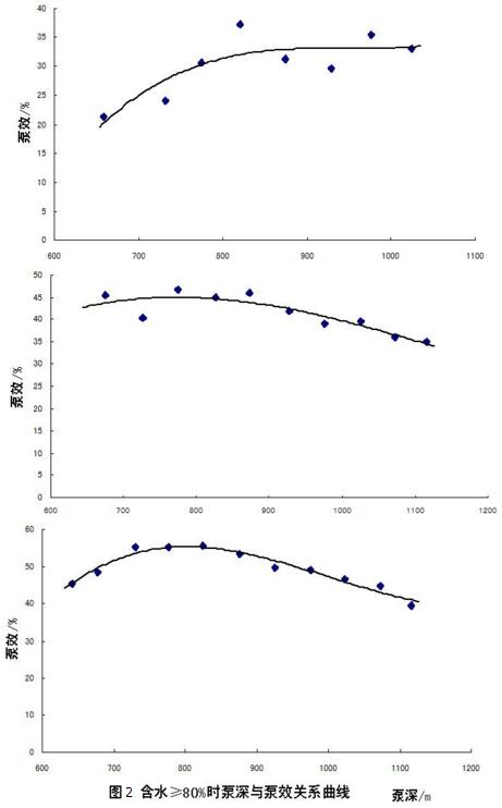
2、合理下泵深度的确定
注水开发油田按油田含水变化可以分为低含水期(含水≤60%)、高含水期(含水在60~80%之间)、高含水后期(含水≥80%)。不同含水阶段,
深井泵的合理下泵深度也应该是不同的,因此对不同含水阶段下泵深度与泵效的关系进行了回归分析,见图2所示。
从不同含水阶段下泵深度与泵效的关系曲线可以看出以下规律:
(1)当含水小于60%时,随着下泵深度的增加,泵效逐渐增加;含水大于60%以上,随着含水的增加,泵效出现峰值,随后泵效逐渐下降;
(2)随着含水的上升,合理下泵深度逐渐降低。
因此,萨中开发区下泵深度应控制在1000m以内。对于含水小于60%的油井,合理下泵深度应在850~1000m之间;含水在60~80%的油井,合理下泵深度应为750~950m之间;含水高于80%的油井合理下泵深度应在700~900m之间。对于含水高于60%的油井,下泵深度较浅,即可以得到较高的泵效,也可以减少井下杆管的用量,节约生产成本。
理论上计算合理的沉没度和下泵深度的过程非常繁琐、复杂,而且有些参数无法计算或者计算误差较大。通过矿场数据的进行统计分析,具有一定可信度。广一水泵通过分析可以得出以下结论:
(1)高含水开采期,下深井泵深度不应过大,特别是83mm、95mm泵更应减小下泵深度。
(2)合理沉没度范围应因井制宜,含水大于80%的油井,合理沉没度应为200~350m之间,含水小于80%的油井,合理沉没度应为300~400m之间。
(3)为提高泵效,应加强抽油机井日常生产管理,对于沉没度低的井应定期放套管气,尽量不要采取加深泵挂的措施。
(4)对于沉没度偏高的井,根据生产实际采取换泵或上提泵挂措施来提高泵效。